高壓放大器在交變電場作用下骨表面溫升的實驗研究
實驗名稱:高壓放大器交變電場作用下骨表面溫升的實驗研究
實驗目的:骨的微觀結構十分復雜,到目前為止對骨的力電性質尚未完全了解﹐這是利用電信號影響骨生長的研究進展相對緩慢的主要原因。要解決此問題,唯有從多方面研究骨的力電性質,直至完全了解,因此本文意在從骨在交變電場作用下,自身溫度的變化方面進行探索。
實驗設備:新鮮牛脛骨骨干,波形發生器,ATA-2081高壓放大器,數字式視頻顯微鏡,紅外測溫儀。
實驗過程:本實驗共取5個干骨試樣在同一牛脛骨上沿厚度方向平行取出兩個試樣(4號、5號試樣),其余3個試樣取自不同牛脛骨(沿厚度方向的取樣位置隨機)。
實驗過程中 ,將骨試樣底端固定在夾具上,頂端自由,形成懸臂梁。通過電極對試樣施加交變電場。波形發生器輸出頻率可調的正弦交變電壓,高壓放大器將輸出電壓的幅值放大至設定的值。數字式視頻顯微鏡的鏡頭聚焦于試樣上表一個區域。基于數字圖像相關方法(DIC)測量試樣自由端截面的彎曲撓度。采用紅外測溫儀測量骨試樣在加載時間內表面溫度隨時間的變化,溫度測量的分辨率為0.1℃,誤差范圍是0.5℃。整個實驗裝置放置在光學防震平臺上。

實驗裝置實驗圖
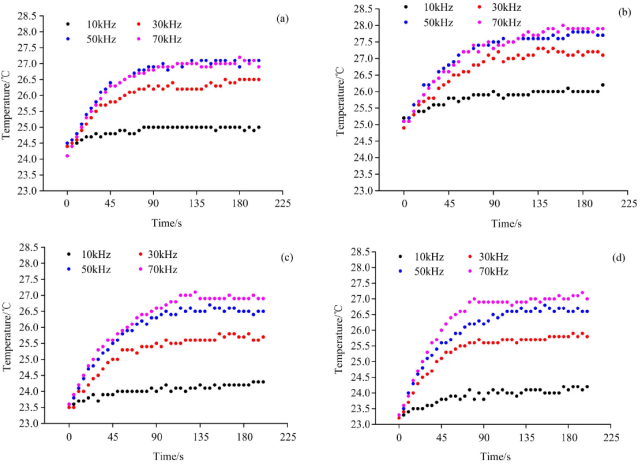
實驗結果:
(1)電壓70V、不同頻率下骨試樣溫度變化;


(2)對比經典電介質的溫度變化和變形可知,經典電介質在交變電場作用下,溫升很低,在測溫儀的測量誤差之內,雖然外加電場既引起骨的溫升又引起彎曲變形,但是﹐所引起的相對高溫升是其特有的性質。與直流電場下的骨試樣對比可知,在相同電壓值下,骨在直流電場下的溫升與變形明顯小于交流電場﹐所以骨材料的溫升反映的主要是其交流性質﹐而并非是簡單的電阻性發熱,并且骨的溫升源于有機成分膠原纖維。擬合實驗數據可知,骨試樣在交變電場下,表面溫升與加載電壓的平方成正比,這是電介質的經典性質。
實驗中用到的高壓放大器參數指標:

本文實驗素材由西安安泰電子整理發布,如想了解更多實驗方案,請持續關注安泰官網www.dzbanwu.cn。Aigtek是國內專業從事測量儀器研發、生產和銷售的高科技企業,一直專注于功率放大器、功率信號源、功率放大模塊、計量校準源等測試儀器產品的研發與制造。
原文鏈接:http://www.dzbanwu.cn/news/301.html


























