功率放大器模塊在超微晶合金磁特性測量研究中的應用
客戶需求:對超微晶合金磁特性測量中的波形發生與控制問題進行研究,實驗系統有嚴格的體積要求,上位機可外置,測試系統需集成于機箱,機箱尺寸:1900mm×500mm×600mm。
解決方案:功率放大器模塊采用安泰ATA-M240高壓放大器模塊,該放大模塊,超寬的頻率范圍30kHz~1.5MHz,輸出電壓400Vpp,操作簡單,只需DC18-28V的供電電壓即可工作。
實驗名稱:超微晶合金磁特性測量中的波形發生與控制問題進行研究
實驗設備:計算機、數據采集卡、ATA-M240高壓放大器模塊、ATA-5220前置放大器、電流探頭、保護電阻、打印機等。
實驗過程:

圖:超微晶合金磁特性測試集成系統圖

圖5.1:一維磁特性測量系統結構圖
由圖5.1可知,計算機為整個測量系統的核心。在對超微晶合金樣件進行一維磁特性測量時,計算機通過運行LabVIEW程序并結合數據采集卡產生激磁電壓信號隨后該信號經功率放大器模塊放大后加載在樣件的初級繞組上;次級繞組上的感應電壓信號和流經初級繞組的激磁電流信號要先分別經過前置放大器的放大作用,隨后由數據采集卡傳遞給計算機,最后計算機對采集到的數據進行相關的計算處理。超微晶合金環形樣件實物圖如圖5.2所示。該樣件的初級繞組線圈匝數M為4,次級繞組線圈數N為4磁環的橫截面積S為240mm2,平均磁路長度1為163.36mm。

圖5.2:超微晶合金樣件實物圖
超微晶合金環形樣件的磁通密度B、磁場強度H可由式(5.1)求得:

式中:
Ni、N2一樣件初級繞組、次級繞組線圈匝數;
U2一次級繞組兩端的感應電壓,單位為伏特(V);
i一初級繞組中流過的激磁電流,單位為安培(A);
S一環形樣件的橫截面積,單位為平方米(m2);
l一環形樣件的平均磁路長度,單位為米(m)。
結合式(5.1)在LabVIEW中編譯磁通密度B、磁場強度H的計算程序框圖,如圖5.3所示。

圖5.3:二維磁特性測量系統
二維磁特性測量系統:
對超微晶合金進行二維磁特性測量時,待測樣件的二維磁化問題相比于一維時更為復雜,因此設計一個性能良好的激磁裝置是減小測量誤差、提高精度的一個必要條件。本課題組采用的二維激磁裝置為雙C型立體結構,如圖5.4所示。在該裝置中采用超微晶合金材料制成的兩個C型磁驅在空間中正交固定,磁軛正中的激磁繞組由利茲線繞制而成。同時此激磁裝置的磁軛與磁極的連接處未采用搭接方式,直接避免了磁動勢降低的現象出現,提高了勵磁能力并降低了激磁損耗。

圖5.4:雙C型立體激磁裝置結構
為了產生更好的激磁效果,使樣片能夠被均勻磁化,C型磁軛上的磁極采用了聚磁能力較強的楔形結構,如圖5.5所示。其中,磁極的尺寸參數分別為:X1=10.2mm,X2=15.9mm,X3=3.1mm。

圖5.5:磁軛與磁極結構圖
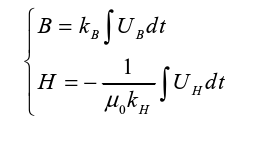
二維磁特性測量系統的核心同樣是計算機。在對樣片進行二維磁特性測量時,計算機通過運行LabVIEW程序并結合數據采集卡產生兩路激磁電壓信號,隨后兩路信號分別經功率放大器放大后加載在激磁裝置的兩個激磁繞組上。同時,為產生圓形旋轉磁場,需調節激磁電壓使得x、y兩路激磁電流的幅值相等且相位差為90;被測樣片上x、y兩路的測量信號要通過B-H傳感器測得,并經過前置放大器的放大作用后通過數據采集卡傳遞給計算機,最后計算機對采集到的數據進行相關的計算處理。超微晶合金方形樣片每個方向的磁通密度B、磁場強度H可由式(5.2)求得:

式中:
UB一B傳感器的感應電壓,單位為伏特(V);
Uu一H傳感器的感應電壓,單位為伏特(V);
kB-B傳感器中探針的傳感系數,經校準得kB=2.67x10m-2
kH一H傳感器中線圈的傳感系數,經校準得kB-1.993x10-3m2
uo一真空磁導率,u04元x10-7T·A/m。
結合式(5.2)在LabVIEW中編譯磁通密度B、磁場強度H的計算程序框圖,如圖5.9所示。

圖5.9:二維磁特性測量中B、H計算程序框圖
ATA-M240高壓放大器模塊在本實驗中的作用:
該模塊由電源模塊,放大器模塊,輸出變壓器模塊,匹配電感器模塊四部分組成,可直接放大信號源輸出電壓,驅動超微晶合金環形樣件,不需要對信號做二次處理;
外觀尺寸小,大大節省了機箱內部空間,便于和信號源模塊,前置放大器、信號采集模塊等,集成于機箱內;
供電電壓為DC18-28V,操作更加簡單,同時大大減少了集成系統的成本。
安泰水聲ATA-M240高壓放大器模塊:

圖:ATA-M240高壓放大器模塊指標參數
本文實驗素材由西安安泰電子整理發布。Aigtek已經成為在業界擁有廣泛產品線,且具有相當規模的儀器設備供應商,樣機都支持免費試用。西安安泰電子是專業從事功率放大器、高壓放大器、功率信號源、前置微小信號放大器、高精度電壓源、高精度電流源等電子測量儀器研發、生產和銷售的高科技企業。公司致力于功率放大器、功率信號源、計量校準源等產品為核心的相關行業測試解決方案的研究,為用戶提供具有競爭力的測試方案,Aigtek已經成為在業界擁有廣泛產品線,且具有相當規模的儀器設備供應商,樣機都支持免費試用。如想了解更多功率放大器等產品,請持續關注安泰電子官網www.dzbanwu.cn或撥打029-88865020。
原文鏈接:http://www.dzbanwu.cn/news/498.html


























