高壓功率放大器在壓電驅動器的研究中的應用
實驗名稱:壓電驅動器的電致振動特性研究
研究方向:壓電驅動器
測試目的:
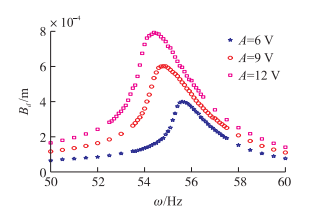
旨在分析壓電驅動器的電激勵振動特性。以雙晶壓電懸臂梁為對象,基于能量法和熱力學平衡方程推導了壓電懸臂梁在電壓激勵下的強迫振動微分方程。利用自行搭建的電激勵振動試驗系統,測試了不同幅值交流電壓激勵下壓電梁的諧響應和瞬態響應。通過試驗驗證了理論分析的合理性,討論了激勵電壓和阻尼對諧響應和瞬態響應的影響。結果表明:壓電懸臂梁的諧響應呈非線性,具有彈簧漸軟特性;壓電梁的共振頻率隨激勵電壓幅值的增大而減小,在6V、9V、12V交流電壓激勵下,壓電梁的共振頻率分別為55.6Hz、54.8Hz、54.4Hz;當激勵電壓頻率等于壓電梁的固有頻率時,其橫向振幅達到峰值;當激勵電壓頻率逐漸遠離壓電梁的固有頻率時,其振幅則迅速降低;激勵電壓頻率接近共振頻率時梁會發生“拍振”現象;阻尼對壓電梁的共振抑振作用最為明顯。
壓電驅動器因其輸出位移大、靈敏度高、抗電磁干擾和斷裂韌性強等優勢,廣泛應用于高應變材料精密定位、多層器件設計、便攜式電子器件的大規模制造工藝、微型機器人的超聲波電機和智能結構等領域。由于壓電驅動器的工作與其振動特性密切相關,所以深入了解電壓激勵下壓電結構的振動特性具有重要意義。
測試設備:ATA-4052高壓功率放大器、頻率特性分析儀、多功能信號發生器、激光位移傳感器、動態信號采集系統和計算機。
實驗過程:
試驗開始前,給予已安裝固定好的試件初始瞬時激勵,然后記錄其自由振動瞬態響應曲線,多次測量取平均值,最后通過衰減系數法求出壓電懸臂梁的阻尼比約為0.03。使用頻率特性分析儀測得壓電懸臂梁的第一階固有頻率為55.513Hz。使用多功能信號發生器輸入電激勵信號,經功率放大器和導線在壓電懸臂梁的上下表面電極上施加電壓。在壓電懸臂梁的共振頻率區間進行諧響應測試。在壓電梁的共振、近共振和遠離共振頻率區間測試壓電梁的瞬態響應。試驗過程中,利用激光位移傳感器測試壓電懸臂梁自由端的振動位移,并采集信號傳送到計算機進行顯示。
實驗結果:
基于能量法和熱力學平衡方程推導了電壓激勵下壓電雙晶懸臂梁的強迫振動微分方程,測試了電壓激勵下雙晶壓電懸臂梁的振動響應,理論與試驗結果相吻合。試驗結果表明,壓電梁的振動響應呈彈簧漸軟特性,在6V、9V、12V交流電壓激勵下的共振頻率分別為55.6Hz、54.8Hz、54.4Hz。考慮工程實際中的非線性現象,若要增大壓電驅動器的驅動效率,增大激勵電壓幅值的同時還需適當減小激勵電壓頻率使其處于共振狀態。阻尼對共振響應的抑振作用最明顯,9V共振頻率電壓激勵下,t=5s時壓電梁在ζ=0.03時的振幅比在ζ=0.01時的振幅下降了約62.0%。本文所得結論可為提高壓電驅動器的驅動效率問題提供理論與實踐指導。

圖:試驗測試幅頻特性曲線

圖:試驗與理論幅頻特性的比較
安泰ATA-4052高壓功率放大器:

圖:ATA-4052高壓功率放大器指標參數
本文實驗素材由西安安泰電子整理發布。西安安泰電子是專業從事功率放大器、高壓放大器、功率信號源、前置微小信號放大器、高精度電壓源、高精度電流源等電子測量儀器研發、生產和銷售的高科技企業。Aigtek已經成為在業界擁有廣泛產品線,且具有相當規模的儀器設備供應商,樣機都支持免費試用。如想了解更多功率放大器等產品,請持續關注安泰電子官網www.dzbanwu.cn或撥打029-88865020。
原文鏈接:http://www.dzbanwu.cn/news/518.html


























