高壓放大器在絕緣電阻電痕腐蝕程度分析中的應用
實驗名稱:高壓放大器基于絕緣電阻的表面電痕腐蝕程度分析中的應用
實驗目的:
根據電痕試驗標準對乙丙橡膠的耐電痕性能進行評估,提取電痕化故障特征量,研究電痕故障診斷方法,對乙丙橡膠的表面電痕狀態進行評估。
實驗設備:不同程度的電痕化處理的乙丙橡膠,ATA-7020高壓放大器,三電極系統,干燥箱
實驗內容:
在電痕試驗的基礎上,在試驗結束后,對各個乙丙橡膠試樣的絕緣性能進行了測量,基于體電阻、極化-去極化電流和回復電壓對其絕緣電阻進行了分析。首先,在干燥箱中測量了各個試樣在不同測量電壓和測量溫度下的體積電阻、極化-去極化電流和回復電壓;其次,詳細分析不同故障程度對體積電阻、極化-去極化電流和回復電壓的影響;最后,比較了不同測量方法下的絕緣電阻,驗證方法的可靠性。
實驗過程:
(1)乙丙橡膠的極化-去極化電流;
下圖為極化-去極化電流的測量電路圖。在去極化過程中,流過乙丙橡膠絕緣的電流為容性,且此容性電流的數量級為pA級,所以想要準確測量去極化電流,對測量設備具有較高的要求。在測量系統中,選擇KEITHLEY-6517B作為電流表,測量中選擇ATA-7020高壓放大器為高壓直流電源。此直流源具有低噪聲的優點,可以保證測量數據的可靠性。測量中選擇的電極為三電極結構,其中高壓端和測量端用于極化-去極化電流的測量,上位機通過串口將6517B實時采集到的數據傳輸到上位機中保存。

(2)乙丙橡膠的回復電壓。
回復電壓法是以介質響應理論為基礎進行的研究,是時域范圍內表征電介質極化的一種方式。回復電壓在測量過程中,不易受到外界電磁干擾的影響,測量結果比較穩定且易于觀察。

回復電壓的測量電路如圖所示。測量選用的直流電壓源為ATA-7020高壓放大器,測量時選擇的電壓值為400V,KEITHLEY-6517B電壓測量單元的電壓測量范圍完全滿足測量要求。測量結束后,上位機通過串口將6517B實時采集到的數據傳輸到上位機中保存。
實驗結果:
(1)電痕尺寸的影響
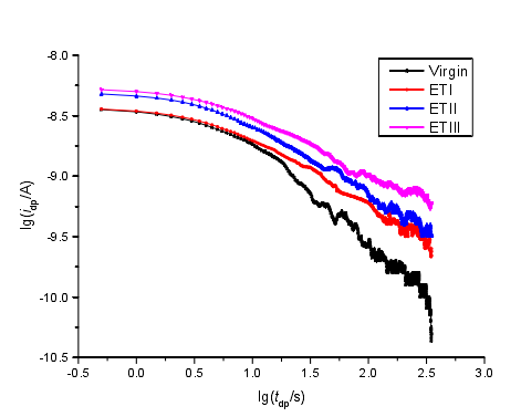
在放電初始階段,隨著電痕腐蝕程度的加深,初始電流和去極化過程中的放電速度均逐漸增大,且電痕腐蝕程度越嚴重,去極化電流衰減穩定時刻的電流值就越大。由試驗結果可知,
各個試樣的去極化電流曲線存在明顯的差異。去極化電流的衰減在整個去極化過程中存在一個凹點。


不同電痕發展階段的去極化電流 對數坐標系下不同電痕發展階段的去極化電流
(2)隨著電痕腐蝕及絕緣污穢程度的增加,乙丙橡膠的體電阻逐漸減小,極化-去極化電流和回復電壓逐漸增大。即絕緣電阻、極化-去極化電流和回復電壓的大小和變化可以反映絕緣故障情況。


不同電痕腐蝕程度下的回復電壓 不同碳粉污穢程度下的回復電壓
本文實驗素材由西安安泰電子整理發布,如想了解更多實驗方案,請持續關注安泰官網www.dzbanwu.cn。Aigtek是國內專業從事測量儀器研發、生產和銷售的高科技企業,一直專注于高壓放大器、功率放大模塊、功率信號源、計量校準源等測試儀器產品的研發與制造。
原文鏈接:http://www.dzbanwu.cn/news/681.html


























